搅拌器的功率计算和工艺设计
2025年06月09日 |
阅读次数:1451搅拌器的功率计算和工艺设计
一、搅拌器的功率计算
搅拌器功率分为运转功率和启动功率,运转功率是指运转时桨叶克服液体的摩擦阻力所消耗的功率;启动功率是指在启动时桨叶克服液体静止惯性所消耗的功率。

1. 运转功率计算(以平浆式为例)
Pr=ξxρxN^3×di^5
式中:
ξ----常数项;
ρ---- 液体密度,kg/m3;
n----桨叶转速,r/min;
d----桨叶直径,mm;
根据对运转功率的分析,可得出如下结论:
1、采用倾斜桨叶,在改善结构和降低运转功率方面都是有宜的。
2、在搅拌很多液体时,应首先考虑增加桨叶数量,而不应增加桨叶长度。
3、实际运转功率大于理论功率,这是因为还存在其它阻力,因此应在计算功率的基础上适当增加余量。
4、容器内壁粗糙时,运转的实际功率应比计算功率增加10-30%。
5、容器内有加热蛇管时,应增加2倍。
6、容器内有挡板时,应增加2-3倍。
2. 惯性(启动)功率计算
Pf=kxρxN³×di^5
符号意义同上。
3. 搅拌器的总功率消耗Pw
Pw=Pr+Pf=(ξ +k)×ρ×n^3×d^5
以此式计算的功率值在lkw以上时误差较小,小于1kw时则与实际功率有较大出入,可以用下面的数值对功率作调整:
当负荷功率≥1kw时,P=(1.1-1.2)Pw
当负荷功率≥0.1kw时,P=(1-4)Pw
当负荷功率≤0.1kw时,P=10Pw
如果只对功率作粗略估算,Pw=(2-3)Pr
4. 几种常用搅拌装置净功率(轴功率)计算公式

注:表中计算公式是根据前苏联科研人员研究的N-Re算图拟合整理所得。
雷诺数计算公式:
Re=nxd^3 xρ/μ
n—转数/s
μ---黏度kg/m³s
d—叶轮直径m
ρ---密度k/m³
电动机应选用防潮型、具有接触环的异步电动机,它具有较大的启动转矩,而一般的三相同步电动机是不适用的。
| 液体单位体积的平均搅拌功率的推荐值 |
| 液体混合 | 0.0661949 |
| 固体有机物悬浮 | 0.1942-0.29126 |
| 固体有机物溶解 | 0.29126-0.38834 |
| 固体无机物溶解 | 0.97086 |
| 乳液聚合(间歇式) | 0.97086-1.94172 |
| 悬浮聚合(间歇式) | 1.16577-1.39304 |
| 气体分散 | 2.912576 |
影响搅拌器功率的因素:
1、搅拌器的几何参数及运转参数
2、搅拌器的几何参数
3、搅拌介质的物理参数
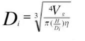
二、搅拌器工艺和结构设计

已知H/Di比,公称容积(操作时盛装物料的容积)Vg,罐体全容积V。
1、装料系数η
Vg=V*η
η一般取值0.6-0.85
物料在反应过程中会起泡沫或呈沸腾状态,装料系数取低值约0.6-0.7,物料反应平稳,可取0.8-0.85,物料粘度大时,可取大值。
2、初步计算筒体直径

3、确定筒体高度

其中v0——封头容积
















