齿轮减速机变速机介绍-齿轮减速机变速机的类型和机制
2019年07月31日 |
阅读次数:2149齿轮减速机变速机是变速机的代表性示例,并且目前使用的单元可以根据齿轮的类型,轴的位置和齿轮的布置分为:
(1)具有平行轴的齿轮减速机变速机
(2)具有正交轴的齿轮减速机变速机
(3)具有垂直非交叉轴的齿轮减速机变速机
(4)具有同轴轴的齿轮减速机变速机
具有平行轴的齿轮减速机变速机的类型和机构
带平行轴的齿轮减速机变速机使用正齿轮,斜齿轮或人字齿轮。它们的输入和输出轴是平行的。关于减速比,一级轴为1 / 1-1 / 7,两级轴为1 / 10-1 / 30,三级轴为1/5-1 / 200。具有平行轴的齿轮减速机变速机的一般特性如下:
对于高精度齿轮,传动效率非常高。(单级齿轮减速机变速机98%至95%)
适当润滑后,可长时间使用。
当使用标准化齿轮时,可以相对便宜地生产。
带正齿轮的齿轮减速机变速机用于提高速度。
带正齿轮的齿轮减速机变速机的尺寸通常很大。与具有相同速比的蜗轮减速机相比,它们的外形很大,并且部件的数量增加导致结构上的缺点。因此,它用于负载侧具有高旋转的机器,或者需要比原动机更高的输出旋转(用于提高速度)。齿轮类型如表2.1所示。
具有平行轴的齿轮减速机变速机通常使用斜齿轮。它们用于钢铁设备,船舶,起重机,电梯和输送机。对于自动化机器而言,这些齿轮减速机变速机也已经用于齿轮减速机变速机,该齿轮减速机变速机是具有直接连接的电动机的齿轮减速机变速机。
表2.1 带平行轴的齿轮减速机变速机的特性

具有正交轴的齿轮减速机变速机的类型和机构
具有正交轴的齿轮减速机变速机也称为锥齿轮减速机变速机,其输入轴和输出轴是垂直的。所使用的齿轮包括直齿锥齿轮,螺旋锥齿轮,螺旋锥齿轮,Zerol锥齿轮,端面齿轮和冠齿轮。具有正交轴的齿轮减速机变速机通常用作现场的动力分支装置。
具有正交轴的齿轮减速机变速机的精度小于具有平行轴的齿轮减速机变速机。特别是,仅在一侧支撑的小齿轮易于偏转,由于导致不良的齿接触而导致传动效率稍低(98%)。直齿锥齿轮减速机变速机适用于1000rpm以下的慢速旋转,标准化的减速比为1:1和1:2。
此外,与直齿锥齿轮减速机变速机相比,螺旋锥齿轮减速机变速机的啮合比大,适用于高负荷和高速旋转。通常,一级的减速比限制为1:6。表2.2显示了锥齿轮减速机变速机的齿轮。
具有倾斜轴的齿轮减速机变速机的类型和机构
输入轴和输出轴偏移并且彼此正交的齿轮减速机变速机通常使用准双曲面齿轮或蜗轮。特别是,蜗轮已经被用于长时间降低速度,并且目前仍然经常使用。其中使用的齿轮的特性如表2.3所示。这些减速器的显着特点如下:
单级中的高减速比减小范围在1:5和1:100之间。如果组合两个蜗轮减速器,则可以获得1:10,000的减速比。
减少噪音和振动
蜗轮蜗杆产生的噪音和振动较小,主要是滑动接触。利用这种特性,蜗轮减速器已被用于驱动源。然而,由于传动效率差,它们已被具有正交轴的齿轮减速机变速机所取代,例如使用准双曲面齿轮或平行轴,如下所述。
输入轴和输出轴成直角
即使集成到齿轮箱中且零件尺寸较小,零件也较少,从而节省了安装区域。
自锁特性
当减速比高时,可能无法通过使用输出轴(蜗轮)转动输入轴(蜗杆)(这称为自锁)。实际上,绝dui自锁是困难的。另一方面,在凸轮机构的情况下,该特性更有效,其中在以一种方式旋转的同时施加正方向负载和负方向负载。
传动效率低
蜗轮传动装置的摩擦损失很大,因为它们使用滑动触点。因此,传输效率低并且根据超前角大范围变化。(当超前角为5°至40°时,传输效率为60%至95%。)当超前角接近15°时传输效率的快速下降是它们的缺点。(见图2.1)。
温度快速升高
除了沿齿廓滑动外,蜗轮齿轮沿着齿迹滑动。由于沿着齿痕的滑动非常大,如果沿齿痕的齿接触很短,则产生高表面压力并且润滑油膜可能破裂。当啮合点的温度高并且使用矿物油时,90℃被认为是外壳上的允许温度的极限。
表2.2 带正交轴的齿轮减速机变速机的特性

表2.3 带歪斜轴的齿轮减速机变速机的特性


图2.1 蜗轮的传动效率
垂直轴:传输效率(%)
水平轴:超前角(r)
具有同轴的齿轮减速机变速机的类型和机构
同轴型也称为行星齿轮型,其分为(1)简单行星齿轮,(2)差动行星齿轮,(3)偏心行星齿轮,和(4)弹性行星齿轮。
先前讨论的具有平行轴或正交轴的齿轮减速机变速机都具有围绕固定轴旋转的齿轮。
如图2.2所示,行星齿轮减速机变速机由围绕固定轴(称为太阳齿轮)旋转的齿轮和围绕太阳齿轮(称为行星齿轮)旋转的啮合齿轮组成。
输入和输出齿轮可以同心地安装在行星齿轮减速机变速机中以获得高扭矩和效率,但据说必须将功率同等地传递到三个行星齿轮以zui大化它们的能力。
图2.3显示了一种简单的行星齿轮减速机变速机。在这种紧凑型齿轮减速器中,三到五个行星齿轮与内齿轮啮合,并将来自输入太阳齿轮的动力传递到多个分支。
如果负载均匀地分布在理想图像中,则与具有一个小齿轮和一个大齿轮的普通齿轮减速机变速机相比,可以传递一个齿轮的力乘以行星齿轮的数量。尽可能均匀地分配力量是设计者面临的挑战,并且已经开发出各种均分配机制并投入实际应用。
图2.4显示了TRIRED齿轮减速机变速机的结构。一个小齿轮浮动并支撑在三个大齿轮的中xin以平衡啮合反作用力,使得力分支成三个方向。

图2.2 行星齿轮减速机变速机的基本结构
1.固定轴/ 2.太阳齿轮/ 3.臂(旋转支撑架)/ 4.行星齿轮

图2.3 简单行星齿轮减速机变速机的结构示例
1.慢轴/ 2.慢轴盖/ 3.壳体/ 4.内齿轮/ 5.行星齿轮轴承/ 6.行星齿轮/ 7.关节盖/ 8.太阳齿轮/ 9.高速侧盖/ 10.高速轴

图2.3 简单行星齿轮减速机变速机的结构示例(负载的分配)

图2.4 TRIRED齿轮减速机变速机的结构

图2.4 TRIRED齿轮减速机变速机的结构(负载的分配)
(1)明业机械齿轮减速机变速机的结构
正常外齿轮中只有一个或两个齿随时传递力。下一对齿应在前一对完成啮合之前开始啮合,以平稳地旋转齿轮。通过使更多的齿同时啮合,可以增加力传递能力。对于相同的运动传输,该装置比其他装置更紧凑。明业机械减速器就是这种类型的一个例子。

图2.5 环形齿轮减速机变速机的结构(齿数差:1)
1。外销/ 2.曲板/ 3.偏心体/ 4.e(偏心量)/ 5.内销(带内辊)
如图2.5所示,该齿轮减速机变速机是一种偏心差动行星齿轮减速器,其中固定内部太阳齿轮采用圆弧齿形(外销)与行星齿轮相结合,具有次摆线光滑弯曲齿形(曲面板)的差异牙齿数量为1。
Cyclo齿轮减速机变速机具有大量同时啮合的齿,并且由于其紧凑的尺寸,可以很好地抵抗过载和冲击负荷。
(2)循环齿轮减速机变速机原理
图2.6显示了内部接触式行星齿轮减速机变速机的机构。假设内部太阳齿轮的齿数为S,行星齿轮的齿数为P.角速度ω1和ω2的关系根据行星齿轮理论用下式表示:
ω2/ω1= 1 - S / P = - (SP)/ P.
假设S - P = 1(齿数差异:1),
ω2/ω1= -1 / P.
例如,在图2.6中,假设固定的内部太阳齿轮的齿数是S = 51,并且行星齿轮的齿数是P = 50。然后理论上,使用两个正齿轮可以获得1/50的非常大的减速度。
然而,由于一般渐开线齿形会产生齿尖干涉,因此不可能有效地利用具有一个齿差的该机构。该问题的解决方案是图2.7中所示的单齿差行星齿轮机构。这种内部接触式行星齿轮利用圆弧齿形内齿轮和平滑的次摆线型曲线行星齿轮,导致无齿尖干涉和同时啮合的大量齿。
接下来,图2.8显示了等速内齿轮机构。
在该机构中,行星齿轮(弯曲板)的中xin围绕输入轴以高速(ω1)旋转,同时其主体以低速(ω2)旋转。如图2.8所示,通过组合圆弧齿形提取慢速旋转的这种结构是等速内齿轮机构。最终,行星齿轮减速机变速机(弯曲板)的旋转可以通过内销从输出轴取出。由于内销均以曲柄轴(输入轴)的同心圆为中xin位于中xin位置,因此它们可以直接安装在输出轴上,形成输入轴(高速轴)和输出轴(高速轴) )同心。
明业机械齿轮减速机变速机巧妙地将这两种机构结合在一起,并在圆弧齿廓上使用滚子,如图2.9所示。

图2.6 内接触式行星齿轮原理
1.曲柄(K)/ 2.旋转输入轴/ 3.旋转行星齿轮(曲柄)/ 4.行星齿轮(P)/ 5.固定内太阳齿轮(S)

图2.7 一个齿差内啮合型行星齿轮的机构
1. 行星齿轮的旋转角速度/ 2.曲柄的旋转角速度/ 3.曲轴/ 4.行星齿轮(P)/ 5.固定内部太阳齿轮(S )

图2.8 等速内齿轮机构
1. e(偏心量)/2.2e(偏心量的两倍)/ 3.行星齿轮(弯板)/ 4.内销

图2.9 明业机械齿轮减速机变速机结构
1. e(偏心量)/2.2e(偏心量的两倍/ 3.内销(带内辊)/ 4.偏心体/ 5.弯板/ 6.外销(带)外辊)
(3)明业机械齿轮减速机变速机的特性
由于输入轴和输出轴是同心的,因此可以直接连接电机。
小巧轻便
与蜗轮类型相比,使用更多零件,但尺寸紧凑
强大的抗过载和冲击负荷
通常,对于渐开线齿轮,同时啮合的齿数是一个或两个。另一方面,同时啮合的Cyclo减速器的齿数理论上约为弯曲板(行星齿轮)的齿数的一半。据信实际值接近该理论量。因此,明业机械齿轮减速机变速机的结构对于其尺寸的抗冲击和过载非常强
比蜗轮减速器更好的传动效率
由于其结构,齿形啮合使得滚动接触使其在一个阶段产生大约98%的传动效率,甚至在三个阶段它可以达到约94%
大减速比
对于速比,一级zui高可达1:119,两级zui高可达1:7579。通过使用三到六个阶段,可以获得惊人的减少率1 /数十亿
(4)行星齿轮减速机变速机的计算示例
行星齿轮减速机变速机具有一对啮合齿轮,其中两个齿轮旋转,而一个齿轮围绕另一个齿轮的轴线旋转。
安装在固定轴(中xin轴)上的外齿轮是太阳齿轮(齿轮绕固定轴旋转),并且其轴绕太阳齿轮旋转的啮合齿轮是行星齿轮。
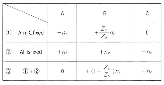
考虑图2.10所示的行星齿轮减速机变速机装置的情况,其中行星齿轮B(齿数= Zb)围绕固定的太阳齿轮A(齿数= Za)在其自身中xin旋转时旋转(旋转数= nc)(旋转次数= nb)。
当臂C固定且太阳齿轮A和行星齿轮B啮合时,让太阳齿轮A逆时针旋转( - ),则太阳齿轮A,行星齿轮B和臂C的旋转为:
太阳齿轮A =( - )nc
行星齿轮B =(+)Za / Zb x nc
臂C = 0
(见图2.11)
当太阳齿轮A,行星齿轮B和臂C各自固定时,让太阳齿轮A顺时针(+)旋转,则太阳齿轮A,行星齿轮B和齿轮C的旋转为:
太阳齿轮A =(+)nc
行星齿轮B =(+)nc
臂C =(+)nc
(见图2.12)
因此,旋转行星齿轮B在其自身轴上旋转的同时围绕固定太阳齿轮A旋转的行星齿轮装置的转数是1和2中的转数之和。(表2.4)
结果,如果太阳齿轮固定并且当臂C旋转时A = 0,则行星齿轮B的转数是nb =(1 + Za / Zb)nc。
让我们给出这个表达式的一些条件。在图2.10中,当臂C(旋转支撑架)向右旋转一次时,行星齿轮B旋转了多少次?假设太阳齿轮A的齿数Za为80,而行星齿轮B的齿数Zb为40。
行星齿轮B的转数nb为:
nb
=(1 + Za / Zb)nc
=(1 + 80/40 )X1 = 3
因此,它向右旋转三次。

图2.10 行星齿轮装置

图2.11 臂C固定,A顺时针旋转

图2.12 全部固定,A顺时针旋转
表2.4 齿轮减速机变速机计算














